2026/02/27

色谱分析的发展历史中,很长一段时间里,色谱柱选择更像一门“手艺”——靠经验、靠试错、靠口口相传的“黄金搭配”,却很难说清:为什么同样是 C18 色谱柱,这家柱子能完美分离样品,换另一家就峰型紊乱;色谱柱停产,该如何找到合规的替代;方法开发究竟用哪款柱子合适,还是只能靠不断试错摸索。色谱柱的“选择性”:始终无法准确量化。 21 世纪初,Snyder团队通过用一组方程,把 “玄学” 变成了可计算、可比对、可验证的科学。这就是施耐德疏水减法模型(Hydrophobic‑Subtraction Model, HSM)。
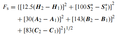
1. 方程简介 Snyder团队挑选出一些特定溶质,这些物质分别对部分作用力敏感,在实验的基础上证明疏水作用力,空间位阻,氢键酸性,氢键碱性,离子交换作用力均与选择性高度相关,继而提出相关方程,9种B型硅胶C18柱、88种溶质的测试中,α预测误差为±0.9%。在此基础上,团队挑选了16种特定作用力敏感物质,对87种色谱柱(主要为B型硅胶C8、C18柱)进行了研究与验证,平均误差±1.2%。 k为目标物的保留因子,EB:yiben因无氢键、离子交换等作用力作为基准溶剂。 其中H、、A、B、C分别代表色谱柱的疏水性,空间阻力,氢键酸性,氢键碱性,离子交换活性(与pH相关);、、、、则分别为样品对应的性质或样品与色谱柱相互作用的性质。例如主要取决于化合物本身的性质logP,而空间位阻项,不仅取决于样品分子大小,还取决于填料键合相密度。 其作用方式如下:

2.作用 在方程得到验证的基础上,对大部分市售色谱柱的参数进行了测定,同时提出等效柱替换参考公式: 通常认为两支色谱柱Fs值相差小于3,即认为等效。在方法开发过程中,如遇到分离效果不佳,可尝试Fs值差异较大的色谱柱,更推荐根据样品性质选择合适的主作用力以此取得更好的保留与分离。 色谱柱参数及Fs值查询:

3.不足 虽然该模型对色谱柱的选择具有重要指导意义,但此模型依然存在一些不足之处。例如一些特殊作用力(偶极-偶极,π-π作用力)未体现,方程覆盖场景不全;模型假设各个作用力相互独立,彼此不影响,但实际情况可能存在相互影响;色谱条件改变情况下,色谱填料自身性质发生的变化未能体现。 更多产品信息,请咨询!
# END # 关于康成百澳生物 生命科学领域快速消费品及配套服务的专业供应商,总部位于泰州医药城,上海、广州、南京、成都、苏州、杭州、武汉等地设有分公司及办事处。 产品线涵盖精准医疗、抗体、疫苗、CGT、分子生物学与细胞生物学、常规临床检验、药物筛选、基因组学与蛋白质组学等研究和应用领域,以“技术+产品+服务”的一体化模式服务客户。
